-
OpenAI, gpt-oss 발표 / Anthropic, Claude Opus 4.1 발표Milkyway/IT Planet 2025. 8. 7. 10:53

이번 주는 빅네임들의 신제품 발표 경쟁 주간인가 봅니다.
어제 Google Deepmind의 Genie 3 발표를 소개해드렸는데, 연이어서 OpenAI는 자사 최초의 오픈웨이트 모델인 gpt-oss를 발표했고, Anthropic도 자사의 플래그십 모델인 Opus의 4.1 버전을 발표했습니다.
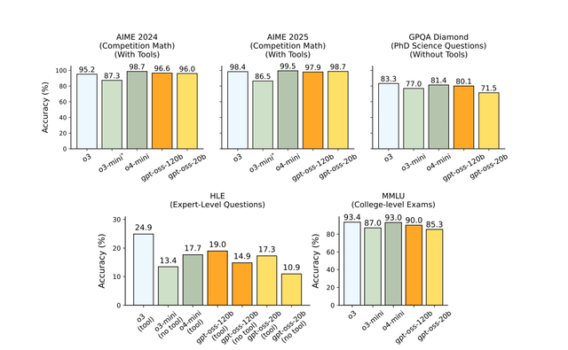
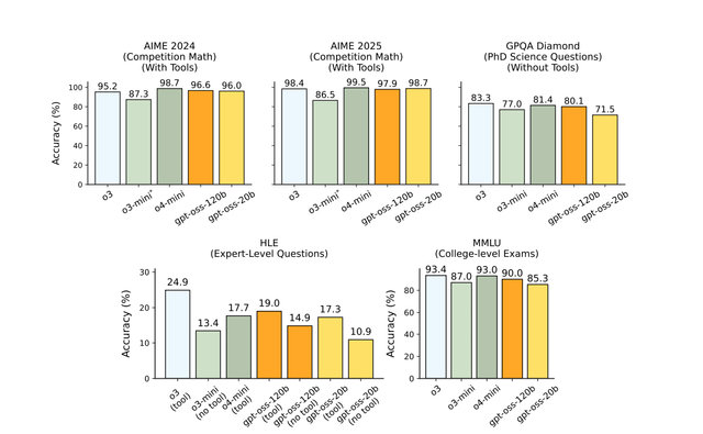
먼저 gpt-oss는 120B 모델과 20B 모델의 두 가지로 공개했는데, 120B 모델은 80GB GPU에서, 20B모델은 16GB GPU에서도 실행가능합니다. 20B 모델은 Edge 디바이스에서도 실행가능합니다.
또한 Apache 2.0 라이선스라서 굉장히 자유도 높게 활용가능합니다.
성능은 o3 mini 수준이상이라고 합니다.

다운로드 받아서 Ollama등에 붙여서 사용가능하며, 허깅페이스에 공개되어 있습니다.(https://huggingface.co/openai/gpt-oss-120b)
Playground(https://gpt-oss.com)에서 바로 테스트해볼 수 있는데요, 다국어지원이 약한 편이라는 평이 많았는데, 제가 한국어로 테스트해보니, Llama보다 훨씬 낫다는 생각이 듭니다.
다음은 Claude Opus 4.1입니다.
Opus는 Haiku, Sonnet 대비 가장 큰 초대형 모델인데요, 엔지니어링 문제 해결 능력 테스트(SWE-bench Verified)에서 74.5%를 기록했고, OpenAI O3나 Google Gemini 2.5 Pro 대비, 압도적인 성능입니다.

역시 코딩은 Claude라는 것을 입증하는 것 같습니다.
수익성도 개선이 되고 있는데, 대부분 개발툴 연동에 의존하는 것이라, 안정적인 성장 단계는 아직 아니라는 생각이 드네요.
출처:
https://openai.com/ko-KR/index/introducing-gpt-oss/
https://www.anthropic.com/news/claude-opus-4-1
반응형'Milkyway > IT Planet' 카테고리의 다른 글
구글, Gemini 2.5 Flash Image(나노바나나) 발표 (1) 2025.08.27 구글, 초고효율 AI, Gemma 3 270M 공개 (4) 2025.08.25 Google Deepmind, 실시간 가상 World 생성 모델 Genie 3 발표 (4) 2025.08.06 Google, 수학올림피아드 금메달을 수상한 Gemini 2.5 Deep Think 출시 (1) 2025.08.05 「독자 AI 파운데이션 모델」 프로젝트 발표평가 결과, 5개 정예팀 선정 (2) 2025.08.05